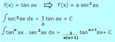
Pada bagian ini kita melihat bagaimana mengintegrasikan berbagai fungsi trigonometri. Integral ini disebut integral trigonometri. Mereka adalah bagian penting dari teknik integrasi yang disebut substitusi trigonometri, yang ditampilkan dalam Substitusi Trigonometri. Teknik ini memungkinkan kita untuk mengubah ekspresi aljabar yang mungkin tidak dapat kita integrasikan ke dalam ekspresi yang melibatkan fungsi trigonometri, yang mungkin dapat kita integrasikan menggunakan teknik yang dijelaskan di bagian ini. Selain itu, jenis integral ini sering muncul ketika kita mempelajari sistem koordinat kutub, silinder, dan bola nanti.
Pada artikel ini kami akan berikan soal-soal latihan tentang integral trigonometri. Agar dapat menyelesaikan soal-soal integral trigonometri, selain rumus integral trigonometri kamu juga harus menguasai rumus-rumus turunan aljabar, turunan trigonometri, identitas trigonometri serta rumus jumlah sudut-sudut trigonometri. Perhatikan baik-baik pembahsan yang kami berikan, semoga membantumu memahami materi ini.
Soal Dan Pembahasan Integral Trigonometri
Tag:
integral trigonometri sin 2x
rumus integral tak tentu
rumus trigonometri
identitas trigonometri
contoh soal integral parsial
integral cos 2x
turunan trigonometri
integral dx
50 soal dan jawaban integral trigonometri
soal integral trigonometri dan pembahasan
soal integral trigonometri pdf
contoh soal integral trigonometri dengan cara substitusi
download soal integral trigonometri
soal dan pembahasan integral trigonometri pdf
contoh soal integral trigonometri kelas 12
integral trigonometri sin 2x

Posting Komentar